今天12:00,2024年北京中考将公布统招录取结果,同时公布参加志愿征集录取学校(专业)。成绩如何查?查询到结果后什么时候能拿到通知书?征集志愿填报有何注意事项?名校来了为大家整理了相关内容,一起来看看吧~
统招录取结果查询时间&网址
统招录取结果查询
今日12:00起,2024年北京中考统招录取结果正式公布。
考生可登录北京教育考试院官网,通过输入考生报名号、准考证号和验证码,查询自己的录取结果。
查询页面示意图

录取结果出来后,各个学校就开始陆续发放录取通知书了,但具体的时间可能会因各学校、各区县的安排而有所不同。通常,考生和家长需要保持手机畅通,以便接收学校或相关部门的通知。同时,也可以关注学校官网或微信公众号等渠道,获取最新的录取通知书发放信息。
注意事项
妥善保管:录取通知书是入学关键凭证,请务必妥善保存。仔细阅读:收到通知书后,请详细阅读内含资料,明确入学时间、要求及所需携带的证件、证明,确保顺利入学。志愿征集
在统一招生阶段未录取满额的学校可以申请参加志愿征集录取,学校(专业)录取条件、范围以及录取方式与统一招生相同。
有加试要求的学校(专业)不能再组织加试,只能补录已在考试院备案的未被录取的加试合格考生,考生可以直接拿着补录申请表到补录招生学校报名。
有关说明:
一、符合报考条件且未被录取的考生可以参加志愿征集录取。
二、拟参加志愿征集录取的考生须于7月31日8:30—16:30登录北京教育考试院网站填报征集志愿。
三、志愿征集学校地址、联系电话、专业信息、报考条件及特殊说明等内容详见《2024年北京市高级中等学校招生简章》。
四、专业名称前有“*”号标记的,仅限专业加试期间已经通过该专业加试的考生报考。
五、志愿征集录取结果查询时间:8月1日12:00。
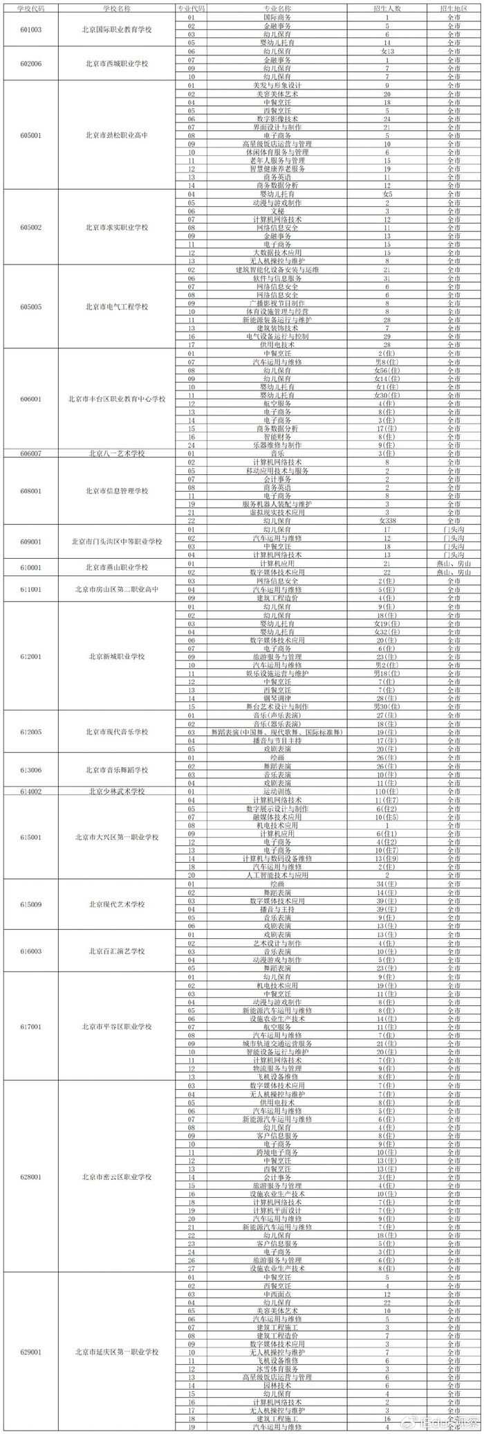
参加志愿征集录取的普通高中学校名单

中等专业学校





技工学校

职业高中学校

五年制高等职业院校

征集志愿填报注意事项
在填报征集志愿时,考生和家长需要注意以下几点:
及时关注信息:密切关注北京教育考试院或相关学校官网发布的征集志愿信息,了解哪些学校(专业)有征集志愿的名额。理性选择:根据自己的实际情况和兴趣爱好,理性选择适合自己的学校和专业。不要盲目追求热门学校或专业,而忽视了自己的实际能力和发展需求。了解录取规则:在填报征集志愿前,务必了解各学校、各专业的录取规则和要求,确保自己符合相关条件。谨慎填报:一旦确定要填报某个征集志愿,务必认真核对相关信息,确保填报无误。同时,也要注意填报时间和截止日期,避免错过机会。做好备选方案:由于征集志愿的名额有限,竞争可能会比较激烈。因此,考生和家长需要提前做好备选方案,以应对可能出现的各种情况。参与补录的学校均为统招阶段未达满额,现仍拥有空余学位。启动二次志愿征集程序,为那些在首次录取中遗憾“滑档”的考生再次开启希望之门,提供一个重新选择的机会。
然而,需要强调的是,志愿征集的窗口期极为有限,将于明日16:30准时关闭。面对如此紧迫的时间压力,高效规划与决策显得尤为重要。
鉴于此,若您对当前哪些民办学校拥有补录名额感到困惑,或渴望深入了解学校的招生计划、学费标准、教学特色及其他办学详情,欢迎随时通过私信联系我们。我们将竭诚为您答疑解惑,助力为孩子做出最合适的选择。
名校来了深刻理解每位家长和学生在选择国际学校时所面临的重大挑战,因此,我们特别推出了高质量且免费的个性化1对1择校咨询服务。涵盖个性化需求分析、全面学校评估、量身定制择校方案、持续跟踪与反馈等。全程紧密围绕您的具体期望与孩子的独特才能,辅以中肯而专业的建议。我们坚信,通过双方的携手合作与不懈努力,定能在众多国际化学校中精准筛选出最适合孩子成长的学府,为其未来的辉煌旅程奠定坚不可摧的基石。有关于择校方面的困惑和疑问,欢迎一对一咨询!
为了帮助广大有意转轨国际化教育的家庭提供更好的择校规划,一站式解决他们的择校难题,北京第十四届国际名校来了择校咨询会将在10月26日于北京千禧大酒店·二层宴会厅举办。届时,我们不仅会邀请北京各区50+所各类国际化名校的校长/招生官与家长面对面沟通洽谈,10+位业内校长大咖和择校发表主题演讲,还有多位择校/升学/留学等不同领域的咨询专家为家长一对一答疑,欢迎广大家长和考生参与!
近期展会信息
第十四届北京国际教育择校咨询会
时间:10月26日12:30-18:00
地点:北京千禧大酒店(地铁10号线金台夕照A西北口)

“名校来了”现已开通各学段家长交流群,如果想要了解更多2024年北京择校咨询展会报名相关的信息,可以添加小助手,并备注孩子目前所在年级,即可加入相应的家长交流群,与其他家长们一起交流分享自己的择校经验与困惑,如有其它问题,小助手也会在第一时间内为您提供详细的解答。

陕公网安备 61011302001522号